본문 바로가기 주메뉴 바로가기
국회도서관 홈으로 정보검색 소장정보 검색

결과 내 검색

동의어 포함

권호기사

권호기사 목록 테이블로 기사명, 저자명, 페이지, 원문, 기사목차 순으로 되어있습니다.
기사명 저자명 페이지 원문 목차
Molinate의 물벼룩에 대한 급성 및 만성독성 연구 신진섭, 안용준, 김병석, 박연기, 박경훈, 이제봉, 경기성 pp.215-221

담수조류의 벼재배용 농약 6종에 대한 감수성 비교 배철한, 조경원, 이석희, 정창국, 박연기, 김연식 pp.222-228

딸기용 농약의 꿀벌에 대한 급성독성 및 엽상잔류독성 김병석, 정미혜, 유아선, 양유정, 김진배, 권오경, 안용준, 박연기, 이용훈 pp.229-235

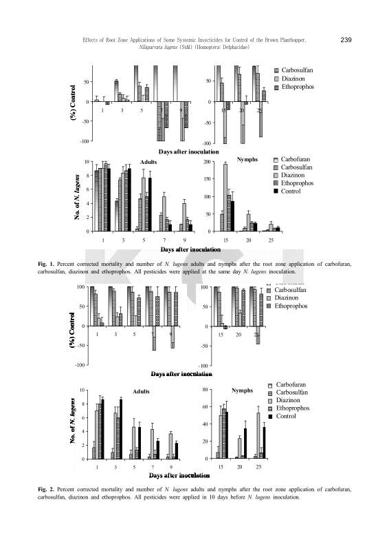
벼멸구에 대한 여러 가지 침투성 살충제의 근부처리 효과 팜홍히엔, 김종규, 최병렬, 송유한 pp.236-242

무화과(Ficus carica L.) 잎의 메탄올 추출물과 그 분획물의 살충활성 천상욱, 김도익, 강경수 pp.243-248

긴털이리응애(Neoseiulus womersleyi)와 점박이응애(Tetranychus urticae)에 대한 3종 살비제의 선택독성 천금수, 백채훈, 김상수 pp.249-255

갈색여치의 유인물질 탐색과 트랩개발 노두진, 윤창만, 양정오, 문상래, 강신호, 안기수, 김길하 pp.256-261

랫드와 HeLaTRE Cell에서의 Alachlor에 의한 갑상선 호르몬성 영향 연구 유아선, 정미혜, 박경훈, 김병석, 김진배, 권오경 pp.207-214

국내 고추 역병균의 metalaxyl 저항성 변화 및 metalaxyl 저항성과 고추에 대한 병원성과의 상관 관계 연초롱, 이수민, 김선보, 민지영, 김흥태 pp.269-275

북방수염하늘소의 살충제 감수성 한주환, 유종현, 김은희, 양정오, 노두진, 윤창만, 김길하 pp.262-268

벼 종자에서 분리한 Fusarium속 균주들의 prochloraz에 대한 저항성 검정 및 교차 저항성 조사 신명욱, 강효중, 이용환, 김흥태 pp.276-281

잿빛무늬병균에 대한 Streptomyces padanus isolate TH04의 항균활성 임태헌, 이동운, 한상섭, 차병진, 최용화 pp.290-293

새로운 불소함유 Phenylformamidine 유도체의 합성과 살충활성 이동국, 정근회, 고영관, 류재욱, 우재춘, 구동완, 최용호, 박노중, 홍미숙, 김태준 pp.294-300

털두꺼비하늘소에 대한 식물정유와 농자재의 훈증독성 안희근, 노두진, 양정오, 윤창만, 김길하 pp.301-305

폴리드나바이러스(CpBV) 유래 면역억제 유전자를 이용한 베큘로바이러스 병원력 제고 기술 김용균, 권보원, 배성우, 최재영, 제연호 pp.282-289

참고문헌 (20건) : 자료제공( 네이버학술정보 )

참고문헌 목록에 대한 테이블로 번호, 참고문헌, 국회도서관 소장유무로 구성되어 있습니다.
번호 참고문헌 국회도서관 소장유무
1 Life History of Nilaparvata lugens (Homoptera: Delphacidae) and Susceptibility of Rice Varieties to Its Attacks1 네이버 미소장
2 Bruce, D. H., (1986) Chemical strategies for resistance management. Pesticide resistance: Strategies and Tactics for Management, National Academy Press 미소장
3 Chiu, S. F., (1980) Root zone application of systemic insecticides for insect control in China, Intl. Rice Res. Newsl 미소장
4 Effect of host plant resistance and insecticide on brown planthopper Nilaparvata lugens (Stål) and predator population development in the Mekong Delta, Vietnam 네이버 미소장
5 Rates and Effect of Resurgence-Inducing Insecticides on Populations of Nilaparvata lugens (Homoptera: Delphacidae) and its Predators 네이버 미소장
6 Korea Crop Protection Association, (2007) Direction for Pesticide Use’s manual for Pesticides, Samjeong Co. 미소장
7 Koshaiya, D. J., (1981) Efficacy of granular insecticides on different developmental stages of brown planthopper, Intl. Rice Res. Newsl 미소장
8 Patnaik, N. C., (1986) Effects of 6 granular insecticides on rice rhizosphere microflora in India, Intl. Rice Res. Newsl 미소장
9 Pillai, K. S., (1983) Field evaluation of two newer insecticides against some rice pests in Kerala, Pesticides 미소장
10 Changes in the uptake function of the rice root to nitrogen, phosphorus and potassium under brown planthopper, Nilaparvata lugens (Stål) (Homoptera: Delphacidae) and pesticide stresses, and effect of pesticides on rice-grain filling in field 네이버 미소장
11 Rao, P. R. M., (1979) Evaluation systemic effect of insecticides against brown planthopper, Intl. Rice Res. Newsl 미소장
12 Rao, P. R. M., (1980) Effect of root zone placement of some granular insecticides on the eggs of the brown planthopper, Nilaparvata lugens (Stal) on rice, Oryza 미소장
13 Riddell, J. L., (1982) Carbosulfan, a versatile new insecticide, Proceedings of the International conference on Plant Protection in the Tropics 미소장
14 Effects of Insecticides on Nilaparvata lugens1 and its Predators: Spiders,2Microvelia atrolineata,3 and Cyrtorhinus lividipennis4 네이버 미소장
15 (2006) Sengottayan, S. N., Y. C. Man, H. P. Chae, H. Y. Seo, J. D. Kim and S. M. Kang (2006) The toxic effects of neem extract and azadirachtin on the brown planthopper Nilaparvata lugens (Stål) (BPH) (Homoptera: Delphacidae). Chemosphere, doi: 10.1016/j.chemosphere. 2006.09.045, 미소장
16 Shepard, B. M., (1991) Handbook of Pest Management in Agriculture, second ed in : Management of insect pests of rice in Asia, CRC Pess 미소장
17 Song, Y. H., (1984) Studies on the insecticide-induced resurgence of the brown planthopper Nilaparvata lugens (Stål), on rice, J. Gyeongsang Natl. Univ 미소장
18 Pesticide‐induced susceptibility of rice to brown planthopper Nilaparvata lugens 네이버 미소장
19 Studies on Stimulating Effect of Two Selective Insecticides on the Number of Egg Laid by Rice Yellow Borer, Tryporyza incertulas (Walker) and Their Effects on Biochemistry of Rice Plants 네이버 미소장
20 Cultivar and insecticide applications affect the physiological development of the brown planthopper, Nilaparvata lugens (Stål) (Hemiptera: Delphacidae). 네이버 미소장