권호기사보기
| 기사명 | 저자명 | 페이지 | 원문 | 기사목차 |
|---|
결과 내 검색
동의어 포함
목차
유방조직등가 팬텀을 이용한 Screen-Film과 Digital Mammography에서의 평균 유선선량 / 신귀순 ; 김정민 ; 김유현 ; 최종학 ; 김창균 1
-국문초록- 1
I. 서론 2
II. 실험장치 및 방법 2
1. 실험장치 및 기구 2
2. 실험방법 3
III. 실험결과 3
1. 유방촬영장치의 종류에 따른 평균유선선량 3
2. 두께에 따른 평균유선선량 4
3. 유방조직 성분에 따른 평균유선선량 8
IV. 고찰 9
V. 결론 9
참고문헌 10
·Abstract 11
유방촬영장치가 screen-film system에서 최근에는 빠른 속도로 digital system으로 교체되고 있는 추세이다. Digital system이 screen-film system에 비해 여러 가지 장점을 가지고 있다. 그 중의 하나가 digital detector가 screen-film보다 X선 흡수효율이 더 높으며, digital system 중에서도 direct digital detector가 indirect digital detector보다 흡수효율이 높다. 이에 입각하면 촬영 시 적은 선량을 주어도 되기 때문에 환자피폭선량이 감소한다. 그러나 임상 방사선사들이 느끼는 바는 달랐다.
따라서 이번 연구에서는 screen-film mammography system, computed mammography system, indirect digital mammography system, direct digital mammography system에서 glandularity가 30%, 50% 및 70%인 세 종류의 유방조직 등가팬텀을 이용하여 평균유선선량(AGD)을 측정하여 다음과 같은 결론을 얻었다.
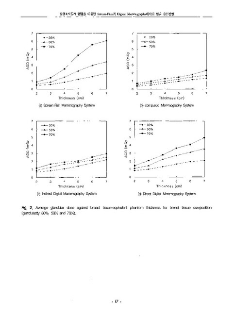
Screen-film보다 digital detector가 X선 흡수효율이 높지만, glandularity가 30%인 경우의 AGD는 오히려 SFM에서 가장 낮았고, 그다음 CM, IDM, DDM 순으로 증가되었다.
자동노출장치로 설정하였지만 두께나 glandularity에 따라 target/filter의 조합이 바뀌지 않고 Mo/Mo으로 계속 사용된 SFM에서는 AGD가 급격히 증가되었다. 따라서 높은 glandularity를 가진 두꺼운 팬텀을 위한 고에너지 촬영에서는 SFM에서 AGD값이 가장 높았고, 저에너지 촬영에서는 DDM에서 AGD값이 가장 높았다. 그러나 target/filter의 조합이 다양하게 바뀐 CM에서는 두께나 glandularity에 따른 AGD의 곡선이 가장 완만하게 증가하였으며, AGD값이 가장 낮았다.
이와 같이 두께와 glandularity가 증가함에 따라 target/filter의 조합이 Mo/Mo에서 Mo/Rh으로 더 증가하면 Rh/Rh으로 바뀌는 것이 AGD의 증가량이 적어 환자의 피폭선량 측면에서 바람직하다. 따라서 유방촬영에서 환자의 피폭선량을 평가하기 위해서는 검출효율 외에도 여러 가지 촬영 변수가 중요한 역할을 한다.
In recent years, mammography system is changed rapidly from conventional screen-film system to digital system for application to screening and diagnosis.
Digital mammography system provides several advantages over screen-film mammography system. According to the information provided by the manufacturer, digital mammography system offers radiation dose reduction in comparison with screen-film mammography system, because of digital detector, particularly direct digital detector has higher x-ray absorption efficiency than screen-film combination or imaging plate(IP).
We measured average glandular doses(AGD) in screen-film mammography(SFM) system with slow screen-film combination, computed mammography(CM) system, indirect digital mammography(IDM) system and direct digital mammography(DDM) system using brest tissue-equivalent phantom(glandularity 30%, 50% and 70%).
The results were shown as follows :
AGD values for DDM system were highest than those for other systems. Although automatic exposure control(AEC) mode was selected, the curve of the AGD values against thickness or glandularity increased significantly for the SFM system with the uniform target/filter(Mo/Mo) combination. Therefore, the AGD values for the high energy examinations were highest in the SFM system, and those for the low energy examinations were highest in the DDM system. But the curve of the AGD values against thickness and glandularity increased gently for CM system with the automatic selection of the target/filter combination (from Mo/Mo to Mo/Rh or from Mo/Rh to Rh/Rh), and the AGD values were lowest.
Consequently, the parameters in mammography for each exposure besides detection efficiency play an important role in oder to estimate a patient radiation dose.| 기사명 | 저자명 | 페이지 | 원문 | 목차 |
|---|---|---|---|---|
| CR X선 영상의 복합잡음 감소에 관한 연구 | 민정환 ;김정민 ;정회원 | pp.1-6 |
|
보기 |
| 위장 X선 투시검사에 따른 실태 및 선량에 관한 연구 | 김성철 ;안성민 ;장상섭 | pp.7-12 |
|
보기 |
| 유방조직등가 팬덤을 이용한 screen-film과 digital mammography에서의 평균 유선선량 | 신귀순 ;김정민 ;김유현 ;최종학 ;김창균 | pp.13-23 |
|
보기 |
| 20~30대 여성의 골밀도 영향 인자에 대한 출산 후 여성과 일반여성과의 비교 연구 | 김순근 ;권대철 ;오찬호 | pp.25-32 |
|
보기 |
| Ir-192 선 선원의 선량분포에 관한 품질보증 | 김종언 | pp.33-38 |
|
보기 |
| CT 조영제의 부작용 예방을 위한 표준진료지침서의 개발과 적용 | 장근조 ;권대철 ;김명구 ;유병규 | pp.39-46 |
|
보기 |
| Key image를 포함한 방사선과 판독결과지 표준전송시스템 개발 | 김선칠 | pp.47-51 |
|
보기 |
| 진단용방사선발생장치의 안전관리에 관한 규칙 개정에 따른 이동형 방사선검사의 개선방안 | 최준구 ;김경수 ;김병기 ;안남준 ;김형선 ;김상건 ;임시은 | pp.53-59 |
|
보기 |
| 심리적 안정을 고려한 촬영실 내부 환경변화가 검사에 미치는 영향 :유아 방사선검사의 불안감 해소 중심으로 | 김선칠 ;석은조 | pp.61-65 |
|
보기 |
| 디지털 특성곡선의 작도법 | 김정민 | pp.67-73 |
|
보기 |
| 번호 | 참고문헌 | 국회도서관 소장유무 |
|---|---|---|
| 1 | 김형철, (2004) 유방 X선촬영 시 피폭선량에 대한 조사연구, | 미소장 |
| 2 | 이인자, (2006) 유방촬영의 실태와 유방촬영실의 공간산란선량에 관한 조사연구, | 미소장 |
| 3 | U. Neitzel, (2005) Status and Prospects of Digital Detector Technology for CR and DR, | 미소장 |
| 4 | A. P. Smith, Fundamentals of Digital Mammography: Physics, Technology and Practical Considerations, | 미소장 |
| 5 | A. G. Haus, (2000) Screen-Film and Digital Mammography, Image Quality and Radiation Dose Considerations, | 미소장 |
| 6 | D. R. Dance, (2000) Influence of anode/filter material and tube potential on contrast, signal-to-noise ratio and average absorbed dose in mammography: a Monte Carlo study, | 미소장 |
| 7 | R. L. Kruger, (2001) A survey of clinical factors and patient dose in mammography, | 미소장 |
| 8 | E. A. Berns, (2002) Performance comparison of full-field digital mammography to screen-film mammography in clinical practice, | 미소장 |
| 9 | N. Jamal, (2003) A study of mean glandular dose during diagnostic mammography in Malaysia and some of the factors affecting it, | 미소장 |
| 10 | 김정민, (2005) 방사선영상정보학, | 미소장 |
| 11 | D. R. Dance, (1990) Monte Carlo calculation of conversion factors for the estimation of mean glandular breast dose, | 미소장 |
| 12 | D. R. Dance, (2000) Additional factors for the estimation of mean glandular dose using UK mammography protocol, | 미소장 |
| 13 | 신귀순, (2005) 유방촬영에서 환자 피폭선량, | 미소장 |
| 14 | 권대철, (2003) 유방촬영술에서 압력과 두께 측정, | 미소장 |
| 15 | M. Chevalier, (2004) Patient dose in digital mammography, | 미소장 |
*표시는 필수 입력사항입니다.
| 전화번호 |
|---|
| 기사명 | 저자명 | 페이지 | 원문 | 기사목차 |
|---|
| 번호 | 발행일자 | 권호명 | 제본정보 | 자료실 | 원문 | 신청 페이지 |
|---|
도서위치안내: 정기간행물실(524호) / 서가번호: 국내05
2021년 이전 정기간행물은 온라인 신청(원문 구축 자료는 원문 이용)
우편복사 목록담기를 완료하였습니다.
*표시는 필수 입력사항입니다.
저장 되었습니다.